Description
PatchView is a GUI tool to perform data analysis and visualization on multi channel whole-cell recording (multi-patch) data. It provides comprehensive functionality for analyzing patch-clamp data, including firing pattern analysis, mini-event analysis, synaptic connection detection, and morphological analysis.

NWB Integration
PatchView reads Heka or Axon format files for patch-clamp data, and uses PyNWB to export to NWB files.
Here’s an example of converting data from a Heka .dat file to an NWB file:
from patchview.utilitis.PVdat2NWB import dat2NWB
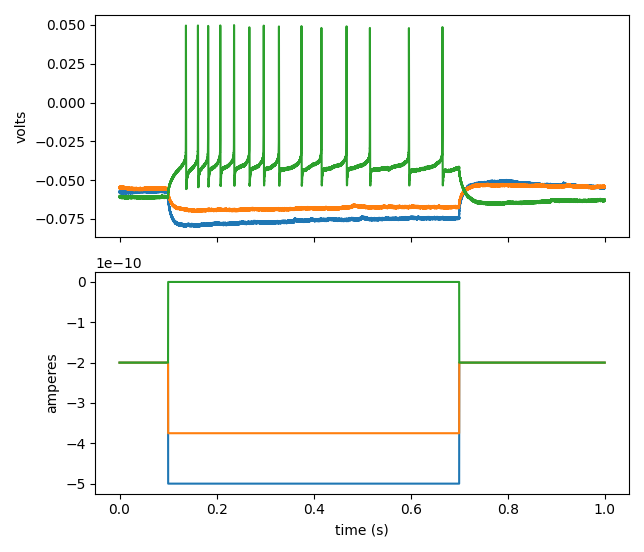
nwbData = dat2NWB('test_singleFP.dat', [0,0]) # extract group 0, series 0 from the file
print(nwbData.fields.keys())
## get number of sweeps
print(f'Number of sweeps: {nwbData.getNumberOfSweeps()}')
## nwbData is an extended pynwb NWB object
stim, resp = nwbData.getSweep(0) # get one sweep's stimulus and responses
## with additional plotting functions.
nwbData.plotSweep([0, 5, 20]) # plot sweep number 0, 5, 20
Example output:

